위상 정렬(Topological Sorting)
순서가 정해져 있는 작업을 차례로 수행해야 할 때 그 순서를 결정해주는 데 사용되는 알고리즘
(일을 하는 순서를 찾는 알고리즘)
DAG( Directed Acyclic Graph ) -방향이 존재하고, 사이클이 존재하지 않는 그래프에서 사용 가능

방향이 존재하는 그래프에서 사용하므로
진입 차수를 사용하여 알고리즘을 구현한다.
진입 차수(indegree)
진입 차수(indegree) : 특정한 노드로 들어오는 간선의 개수
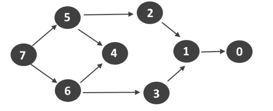
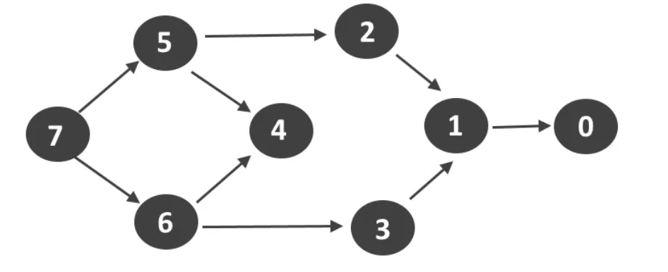
위의 그림에서 7 -> 5에서
5의 진입 차수는 1이다
7의 집입 차수는 0이다
위상 정렬 동작 과정
각 노드의 진입 차수를 구한다.
진입 차수가 0 인 노드를 큐에 넣는다.
큐에 있는 노드의 간선을 제거
- ( 해당 간선을 진입 차수로 둔 노드의 진입 차수도 제거 )
- 제거 과정에 진입 차수가 0이 된 노드는 큐에 추가
public boolean topologicalSorting(int numCourses, int[][] prerequisites) {
List<Integer>[] graph = new ArrayList[numCourses];
int[] inDegree = new int[numCourses];
Queue<Integer> queue = new LinkedList<>();
for (int i = 0; i < numCourses; i++) {
graph[i] = new ArrayList<>();
}
for (int[] pre : prerequisites) { // 노드별 진입차수 계산
inDegree[pre[0]]++;
graph[pre[1]].add(pre[0]);
}
for (int i = 0; i < inDegree.length; i++) { // 진입차수가 0인 노드 선별
if (inDegree[i] == 0) {
queue.offer(i);
}
}
while (!queue.isEmpty()) { // 큐의 노드 간선 제거 및 진입차수 제거
int idx = queue.poll();
for (int tmp : graph[idx]) {
inDegree[tmp]--;
if (inDegree[tmp] == 0) {
queue.offer(tmp);
}
}
}
return Arrays.stream(inDegree).sum() == 0;
}
관련 문제
'Algorithm' 카테고리의 다른 글
| [알고리즘] 라빈 카프(Rabin-Karp)(문자열 탐색)(Rolling Hash) (0) | 2022.01.31 |
|---|---|
| [알고리즘] Quick Sort (0) | 2021.12.15 |
| [알고리즘] Tree (0) | 2021.06.25 |
| [알고리즘] Backtracking ( 백트래킹, 퇴각 검색 ) (0) | 2021.06.03 |
| [알고리즘] Dynamic Programming ( 동적 계획법 ) (0) | 2021.04.17 |







